Российские астрономы открыли необычный космический объект

Российские астрономы совместно с зарубежными коллегами обнаружили новый рентгеновский пульсар SRGA J204318.2+443815. Об открытии необычного космического объекта сообщается в препринте, опубликованном в репозитории arXiv.org.
Рентгеновскими пульсарами называют нейтронные звезды с сильным магнитным полем, которые демонстрируют периодические изменения интенсивности рентгеновского излучения. Эти объекты находятся в составе двойных звездных систем, а их компаньоном является обычная звезда главной последовательности. Вещество от компаньона перетекает на пульсар, в результате чего время от времени происходит высвобождение гравитационной потенциальной энергии, что и обеспечивает рентгеновское излучение.
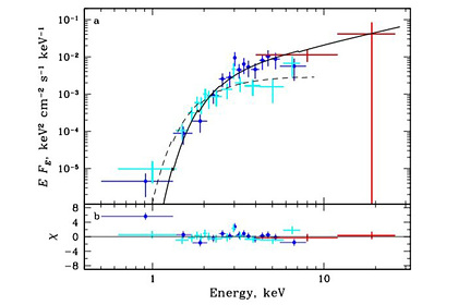
Исследователи обнаружили объект с помощью телескопа ART-XC, который зафиксировал относительно яркий источник рентгеновского излучения, располагающийся на расстоянии 26 тысяч световых лет от Земли. Последующие наблюдения с использованием космических телескопов XMM-Newton, NICER и NuSTAR позволили подтвердить, что объект является пульсаром. Период всплесков излучения составляет около 742 секунд.
Болометрическая светимость (светимость на всех длинах волн) равна 400 дециллионов эрг в секунду, что относительно мало для пульсара. Спутником пульсара является звезда спектрального класса B (бело-голубые). Таким образом, астрономы предполагают, что SRGA J204318.2+443815 может быть новым членом подкласса устойчивых рентгеновских двойных систем (BeXRB) с низкой светимостью, имеющих «холодный» аккреционный диск.